CLASS-OneLoop: Accurate and Unbiased
Inference from Spectroscopic Galaxy Surveys

In Collaboration with:
Azadeh Moradinezhad Dizgah, Christian Radermacher, Santiago Casas, Julien Lesgourgues

Dennis Linde

(arXiv:2402.09778)

Title Text

Dennis Linde

Outline

04.06.2024

1

Part 1:
(D. Linde)

a) Theory: 

  • Modelling of the 1-Loop Power Spectrum within EFTofLSS

b) Mock Data Analysis utilizing CLASS-OneLoop: 

  • MCMC analysis of the AbacusSummit suite
  • MCMC forecast for a Stage-IV-like analysis

Numerical Aspects and Outlook  

Part 2:
(J. Lesgourgues)

Modelling of the

1-loop Power Spectrum

within the EFTofLSS

Title Text

Dennis Linde

Modelling of the LSS in Real-Space

2

Perturbative Expansion of the Matter Field

04.06.2024

\delta^{(n)}(\mathbf{k}) = \prod_{m=1}^{n} \left[ \int d^3q_m \delta^{(1)}(\mathbf{q}_m) \right]F_n(\mathbf{q_1, ...,q_n})\delta_D(\mathbf{k}-\mathbf{q_i}|_1^n) + \delta_{ctr}^{(n)}(\mathbf k)
\delta(\mathbf{k}, \eta) = \sum_{i=1}^\infty D^i (\eta) \delta^{(i)}(\mathbf{k})

EdS Approximation

\left<\delta(\mathbf{k}) \delta(\mathbf{k'})\right> \approx \left< \delta^{(1)}(\mathbf{k})\delta^{(1)}(\mathbf{k'})\right> + 2 \left< \delta^{(1)}(\mathbf{k})\delta^{(3)}(\mathbf{k'})\right> \\ + \left< \delta^{(2)}(\mathbf{k})\delta^{(2)}(\mathbf{k'})\right> + \left< \delta^{(1)}_{(ctr)}(\mathbf{k})\delta^{(1)}(\mathbf{k'})\right>

One-loop Matter Power Spectrum

P_{1-loop}(k) \equiv P_{lin}(k) + 2 P_{13}(k) + P_{22}(k) - 2 c_s^2 k^2 P_{lin}(k)

Title Text

Dennis Linde

Modelling of the LSS in Real-Space

Eulerian Bias Expansion

\delta_g(\bold x)=b_1\delta(\bold x)+b_{\nabla^2\delta}\nabla^2\delta(\bold x)+\epsilon(\bold x) + \frac{b_2}{2} \delta^2(\bold x)+ b_{\mathcal{G}_2}\mathcal{G}_2(\bold x) + \epsilon_\delta(\bold x) \delta(\bold x)+\frac{b_3}{6} \delta^3(\bold x) \nonumber \\ +b_{\mathcal{G}_3}\mathcal{G}_3(\bold x)+b_{(\mathcal{G}_2\delta)}\mathcal{G}_2(\bold x)\delta(\bold x) +b_{\Gamma_3}\Gamma_3(\bold x)+ \epsilon_{\delta^2}(\bold x) \delta^2(\bold x)+ \epsilon_{\mathcal G_2}(\bold x) {\mathcal G_2}(\bold x)

3

Desjacques et al. (arXiv:1611.09787)

04.06.2024

One-loop Tracer Power Spectrum

P_{gg}^{1-loop}(k) \equiv b_1^2 P^{1-loop}_{mm}(k) + b_1 b_2 \mathcal{I}_{\delta^2}(k)+ 2 b_1 b_{\mathcal{G}_2} \mathcal{I}_{\mathcal{G}_2}(k) \\ + \frac{1}{4} b_2^2 \mathcal{I}_{\delta^2 \delta^2}(k) + b_{\mathcal{G}_2}^2\mathcal{I}_{\mathcal{G}_2 \mathcal{G}_2}(k) + b_2 b_{\mathcal{G}_2} \mathcal{I}_{\delta^2 \mathcal{G}_2}(k) \\ + 2 b_1 (b_{\mathcal{G}_2} + \frac{2}{5}b_{\Gamma_3}) \mathcal{F}_{\mathcal{G}_2}(k) + P_{\nabla^2 \delta}(k)

Title Text

Dennis Linde

Redshift Space Distortions

4

\delta_r(\vec{k})\approx \delta(\vec{k}) - i \frac{k_z}{aH}v_z(\vec{k}) + \frac{i^2}{2} \left( \frac{k_z}{aH}\right)^2 [v_z^2]_{\vec{k}} - \frac{i^3}{3!} \left( \frac{k_z}{aH}\right)^3 [v_z^3]_{\vec{k}} \\ -i \frac{k_z}{aH}[v_z\delta]_{\vec{k}} + \frac{i^2}{2} \left( \frac{k_z}{aH}\right)^2 [v_z\delta]_{\vec{k}}

Velocity Moments

P_r(k,\mu) = \Sigma^{(0)} + i k \mu \Sigma^{(1)} + \frac{i^2}{2} k^2 \mu^2 \Sigma^{(2)} + \frac{i^3}{3!} k^3 \mu^3 \Sigma^{(3)} + \frac{i^4}{4!} k^4 \mu^4 \Sigma^{(4)}
\mu \equiv \mathbf{k}\cdot \hat{z}

Chen et al. (arXiv:2005.00523)

P_{\rm ct}(k,\mu) = \left\{c_0^{(0)}+ \left[c_1^{(0)} + f c_2^{(0)}\right] f\mu^2 + \left[c_2^{(2)} + f c_3^{(0)}\right] f^2\mu^4 + \left[c_3^{(2)} + f c_4^{(2)}\right] f^3 \mu^6 \right\} k^2 P_0(k)
P_{\rm shot}(k,\mu) = \frac{1}{\bar n} \left[1 + s_0 + s_1 k^2 + s_2 f^2 \mu^2 k^2 + s_3 f^4 \mu^4 k^4 \right]
\vec{x}_r \equiv \vec{x} + \frac{\hat{z} \cdot \vec{v}}{aH}\hat{z}

04.06.2024

Counter-Terms:

Stochastic-Terms:

Title Text

Dennis Linde

Redshift Space Distortions

5

P_r(k,\mu) = \Sigma^{(0)} + i k \mu \Sigma^{(1)} + \frac{i^2}{2} k^2 \mu^2 \Sigma^{(2)} + \frac{i^3}{3!} k^3 \mu^3 \Sigma^{(3)} + \frac{i^4}{4!} k^4 \mu^4 \Sigma^{(4)}

04.06.2024

Title Text

Dennis Linde

IR-Resummation

(WnW Technique)

Separating the linear Power Spectrum into a Wiggle and Non-Wiggle contribution:

P_{lin}(k)=P_{nw}(k)+P_{w}(k)
\Sigma^2(z)\equiv \frac{1}{6\pi^2}\int_0^{k_s}dq P_{nw}(z,q)\left[1-j_0\left( \frac{q}{k_{osc}}\right) 2j_2\left( \frac{q}{k_{osc}}\right)\right]

6

\Sigma_{\rm s}^2(\mu) = \left[1+f(f+2)\mu^2 \right] \Sigma^2 + f^2 \mu^2(\mu^2 - 1)\delta \Sigma^2
\delta \Sigma \equiv \frac{1}{2\pi^2} \int_0^{k_s} dq \ P_{\rm nw}(q) \ j_2\left(\frac{q}{k_{\rm osc}}\right)

04.06.2024

P^{s, {\rm IR}}_g(k,\mu) \simeq (b_1+f\mu^2)^2 \left[ P_{\text{nw}}(k) +e^{-k^2\Sigma_{\rm s}^2(\mu)}P_{\text{w}}(k)\left(1+k^2\Sigma_{\rm s}^2(\mu)\right) \right] \\ \qquad + P^s_{g,\text{loop}}[P_{\rm nw}](k,\mu) + e^{-k^2\Sigma_{\rm s}^2(\mu)} \left\{P^s_{g,\text{loop}}[P_0](k,\mu)-P^s_{g,\text{loop}}[P_\mathrm{nw}](k,\mu)\right\}

IR-Resummed  1-Loop Power Spectrum

P^{s, {\rm IR}}_g(k,\mu) = (b_1+f\mu^2)^2 \left[ P_{\text{nw}}(k) +e^{-k^2\Sigma_{\rm s}^2(\mu)}P_{\text{w}}(k)\left(1+k^2\Sigma_{\rm s}^2(\mu)\right) \right] + P^s_{g,\text{loop}}[P_0\rightarrow P_{\rm LO}](k,\mu)
P_{LO}

Title Text

Dennis Linde

Why do we need another PT-Code?

7

04.06.2024

  • A validation with yet another independent code only proves the consistency of the theory and convergence of numerical approaches
  • Fully integrated and supported within
    the Boltzmann-Solver CLASS
  • Modular and user-friendly and therefore easy to extend already existing pipelines
  • Contains some additional numerical techniques to seek even better efficiency

MCMC Analyses with the new code

CLASS-OneLoop

Title Text

Dennis Linde

Analysis of the Abacus Suite

Setup

8

04.06.2024

Abacus Suite

Observable

  • Halo Catalogs within a Planck 2018 cosmology
  •            Particles with a mass of
  • Volume of
  • 25 Realizations         200 Subvolumes with
6912^3
M = 2 \times 10^9 \ h^{-1} M_\odot
V=(2 h^{-1}Gpc)^3
V_{sub}=(1 h^{-1}Gpc)^3

Cosmological Parameters and their Priors

  • Bin-averaged Power-Spectrum Wedges
P_g(k_i,\mu_j)

Likelihood

  • Gaussian Likelihood with only Gaussian Contributions to the Covariance
(\omega_{\rm b}, \omega_{\rm cdm}, h, A_{\rm s}, n_{\rm s})

BBN Prior

Loose Planck 2018 Priors

Flat Priors

Title Text

Dennis Linde

Analysis of the Abacus Suite

9

04.06.2024

Title Text

Dennis Linde

Desi Forecast

(Simplified Setup)

10

04.06.2024

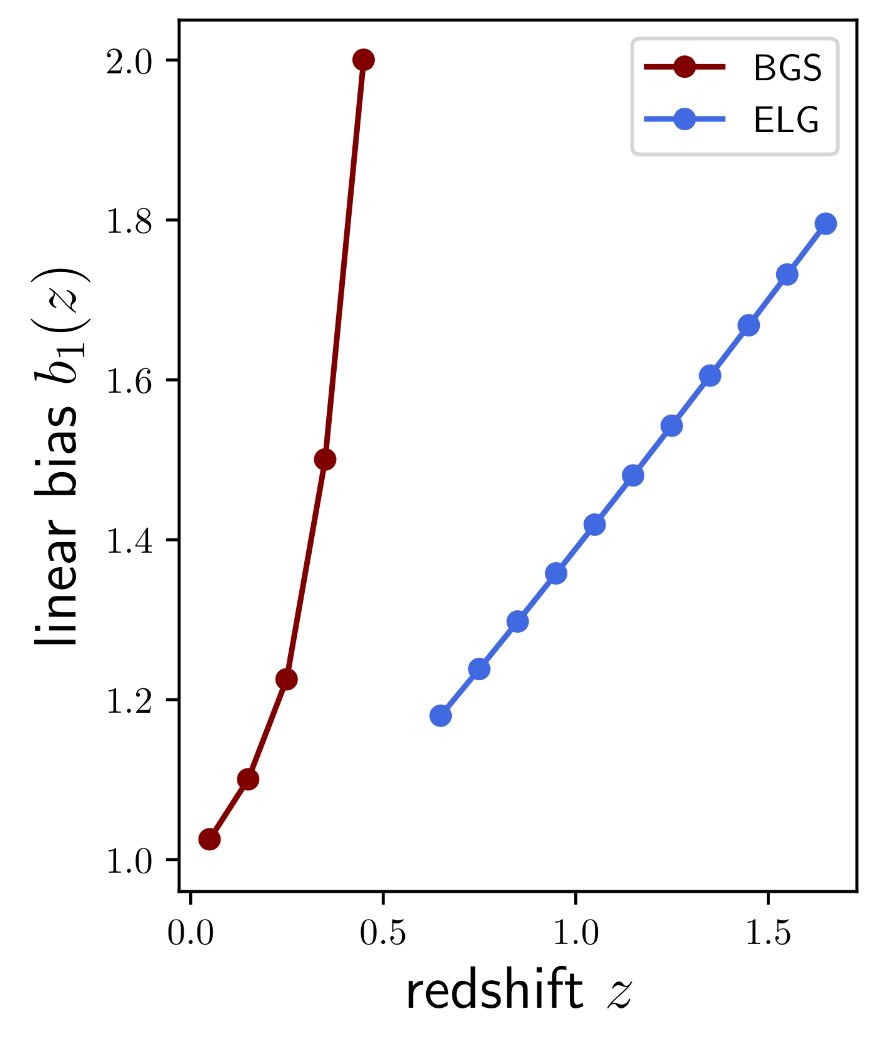
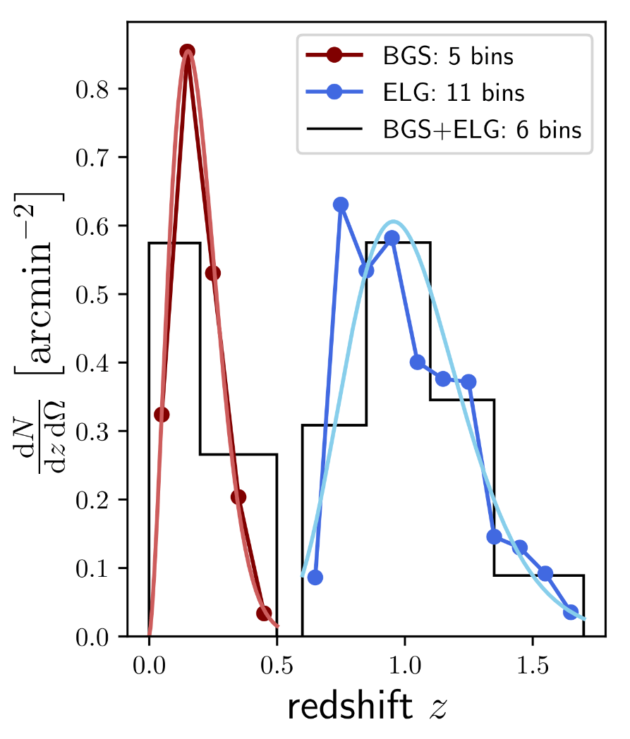
  • Redistribute the number densities of the samples to 2 BGS and 4 ELG redshift bins

 (DESI Collaboration)

Title Text

Dennis Linde

Desi Forecast

Setup

04.06.2024

  • Fixing      redshift dependency
\mathbf{b_1}

 (DESI Collaboration)

  • Redistribute the number densities of the samples to 2 BGS and 4 ELG redshift bins

10

Title Text

Dennis Linde

Desi Forecast

Setup

04.06.2024

  • Fixing non-linear biases to
    co-evolution
  • Varying the overall amplitudes across all redshift bins
(\omega_{\rm b}, \omega_{\rm cdm}, h, A_{\rm s}, n_{\rm s}, w_0, w_a)

7 Cosmological

({\tilde b}_1, {\tilde b}_2, {\tilde b}_{\mathcal{G}_2}, {\tilde b}_{\Gamma_3})
(c_0, c_1, c_2, c_3)
(s_0, s_2, s_3)

2 x 11 Nuisances

  • Fixing      redshift dependency
\mathbf{b_1}
  • Redistribute the number densities of the samples to 2 BGS and 4 ELG redshift bins

10

Title Text

Dennis Linde

Desi Forecast

11

04.06.2024

Title Text

Dennis Linde

Conclusion of Part 1 and Upcoming

12

04.06.2024

Part 1:
 

Numerical Aspects and Outlook  

Part 2:
(J. Lesgourgues)

  • Introduced the Power Spectrum modelling implemented
    in CLASS-OneLoop
  • Unbiased Inference with CLASS-OneLoop on the AbacusSummit suite
  • Stage-IV-like Forecast utilizing the new implementation

Thank you very much for your attention!